首页 · 留学规划 · 热门专业 留学规划
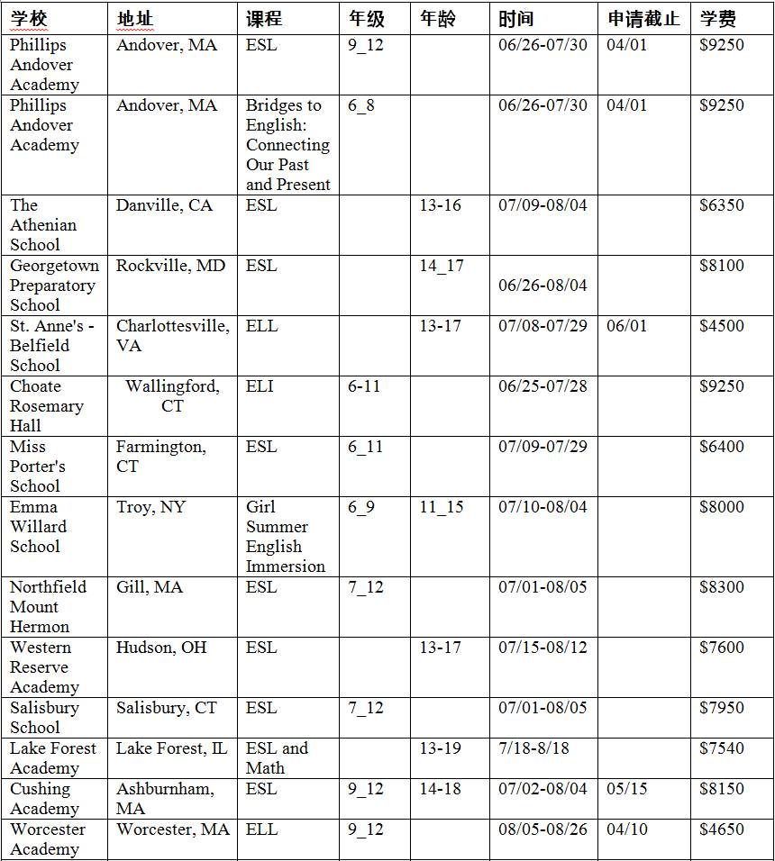
2017美国暑期ESL课程汇总
发布时间:2017-03-02 作者:美国高中留学小编 来源:美国留学
  

咨询热线:400-000-7805;010-65183908
公司网站:www.liumeinet.com
高中微信:liumeinet2014 大学微信:liumeinet1011
石老师博客:http://blog.sina.com.cn/u/1833271564
- 上一篇:美国航空航天工程专业的十大名校
- 下一篇: 最新QS世界大学专业排名正式发布(含46个专业)



